4.1 森林图

Show the code
library(meta)
m.gen <- metagen(TE = TE,
                 seTE = seTE,
                 studlab = Author,
                 data = dmetar::ThirdWave,
                 sm = "SMD",
                 fixed = FALSE,
                 random = TRUE,
                 method.tau = "REML",
                 method.random.ci = "HK",
                 prediction = TRUE,
                 title = "Third Wave Psychotherapies")
Show the code
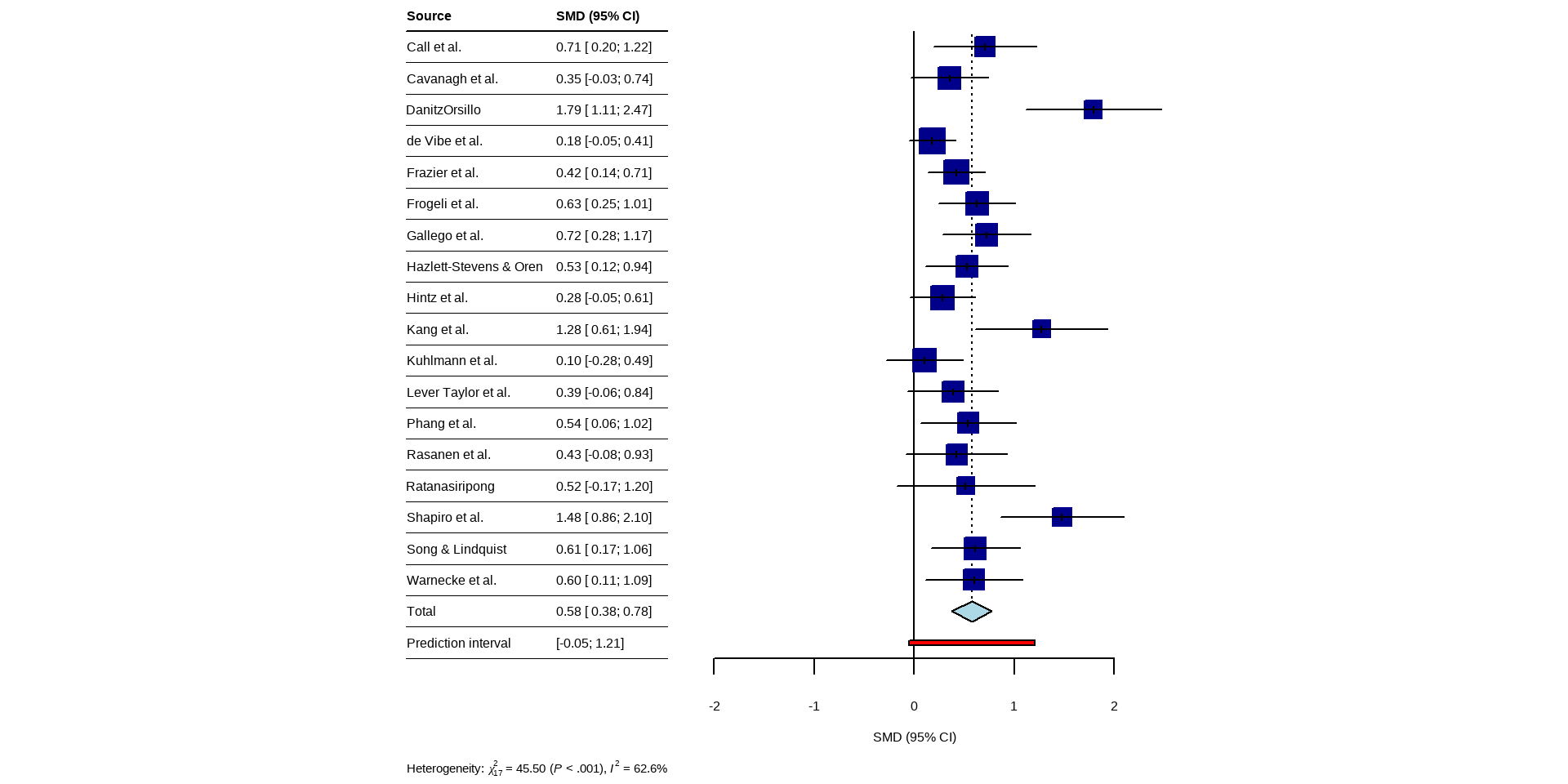
meta::forest(m.gen, 
             sortvar = TE,
             prediction = TRUE, 
             print.tau2 = FALSE,
             leftlabs = c("Author", "g", "SE"))

Show the code
meta::forest(m.gen, 
             sortvar = TE,
             prediction = TRUE, 
             print.tau2 = FALSE,
             leftcols = c("studlab", "TE", "seTE", "RiskOfBias"),
             leftlabs = c("Author", "g", "SE", "Risk of Bias"))

Show the code
meta::forest(m.gen, layout = "JAMA")

Show the code
meta::forest(m.gen, layout = "RevMan5")

Show the code
pdf(file = "images/forestplot.pdf", width = 8, height = 7)

meta::forest(m.gen, 
             sortvar = TE,
             prediction = TRUE, 
             print.tau2 = FALSE,
             leftlabs = c("Author", "g", "SE"))

dev.off()
#> png 
#>   2
Show the code
svg(file = "images/forestplot.svg", width = 8, height = 7)

meta::forest(m.gen, 
             sortvar = TE,
             prediction = TRUE, 
             print.tau2 = FALSE,
             leftlabs = c("Author", "g", "SE"))

dev.off()
#> png 
#>   2

4.2 Drapery Plots

Show the code
drapery(m.gen, 
        labels = "studlab",
        type = "pval", 
        legend = FALSE)